Contoh Karangan Berita Kemalangan Jalan Raya - Contoh Karangan Fakta Pt3 Kemalangan Jalan Raya / Tapi itu tidak berlaku untukku.

Contoh Karangan Berita Kemalangan Jalan Raya - Contoh Karangan Fakta Pt3 Kemalangan Jalan Raya / Tapi itu tidak berlaku untukku.. Kami diminta menulis sebuah berita tentang kemalangan jalan raya. Hari minggu ini adalah hari yang paling melelahkan bagiku. Bersama kita jadikan jalan raya kita jalan yang selamat. Kemalangan jalan raya kemalangan jalan raya yang berlaku di negara ini meningkat daris e m a s a k e semasa. Kemalangan jalan raya semakin meningkat setiap hari.

Faktor berlakunya kemalangan jalan raya. Prakarsa utama dalam mendepani isu kemalangan jalan raya adalah dengan memastikan sikap setiap pemandu itu sentiasa berhemah dalam pemanduan dan beristirahat sekiranya berasa letih dan. Learn bahasa malaysia creatively from probably the most creative bm coach ! Hal ini demikian supaya kemalangan jalan raya dapat dikurangkan. Setiap hari,kita boleh membaca berita berkaitan kemalangan di surat khabar.

Teknik Menjawab Bahasa Melayu Penulisan Upsr Menulis Karangan 1 Bumi Gemilang
Teknik Menjawab Bahasa Melayu Penulisan Upsr Menulis Karangan 1 Bumi Gemilang from i0.wp.com
Adalah menjadi harapan saya agar rakyat malaysia akan sentiasa beringat dan berwaspada semasa dalam perjalanan pulang ke kampung halaman. Kami diminta menulis sebuah berita tentang kemalangan jalan raya. Prakarsa utama dalam mendepani isu kemalangan jalan raya adalah dengan memastikan sikap setiap pemandu itu sentiasa berhemah dalam pemanduan dan beristirahat sekiranya berasa letih dan. Pendahuluan satu kemalangan jalan raya telah berlaku tempat, tarikh dan masa. Kalimat yang meyakinkan pembaca tentang suatu pendapat penulis. Tapi sebelum menuju contoh karangan yang dimaksud. Dalam arus globalisasi, masalah kecelakaan jalan raya telah menjadi masalah nasional. Pengalaman menyaksikan kemalangan jalan raya.

Kadar kemalangan jalan raya begitu meningkat setiap tahun.

Akan lebih baik jika anda mengetahui apa sih karangan argumentasi itu? Pukul 5 pagi aku sudah bangun untuk. Alat canggih untuk menambal aspal jalan raya yang rusak ini sangat canggih, hanya dengan satu alat saja sudah mampu menyelesaikan pekerjaan jalan raya, cara mengurangkan kemalangan jalan raya, cctv jalan raya, contoh berita kemalangan jalan raya, contoh karangan berita kemalangan. Dalam arus globalisasi, masalah kecelakaan jalan raya telah menjadi masalah nasional. Bersama kita jadikan jalan raya kita jalan yang selamat. Contoh karangan upsr terbaik untuk subjek bahasa melayu bagi pelbagai format dan tajuk sebagai rujukan darjah bagi karangan berformat ia terdiri daripada karangan berita, karangan ucapan atau karangan syarahan atau karangan. Langkah mengatasi kemalangan jalan raya. Karangan bergambar tunggal • karangan yang hendak ditulis itu hendaklah berpandukan gambar yang tel ah disediakan. Contoh karangan bahagian pendahuluan (nordiana nordin 5 mpv). Hari minggu ini adalah hari yang paling melelahkan bagiku. Bersama kita jadikan jalan raya kita jalan yang selamat. Tapi itu tidak berlaku untukku. Suatu kemalangan jalan raya yang pernah saya saksikan.

Akan lebih baik jika anda mengetahui apa sih karangan argumentasi itu? Sebab kemalangan jalan raya berlaku? Kemalangan jalan raya kemalangan jalan raya yang berlaku di negara ini meningkat daris e m a s a k e semasa. Setiap hari,kita boleh membaca berita berkaitan kemalangan di surat khabar. 33 contoh karangan dalam terbaik+artinya enjoy online casino live casino sports betting games.

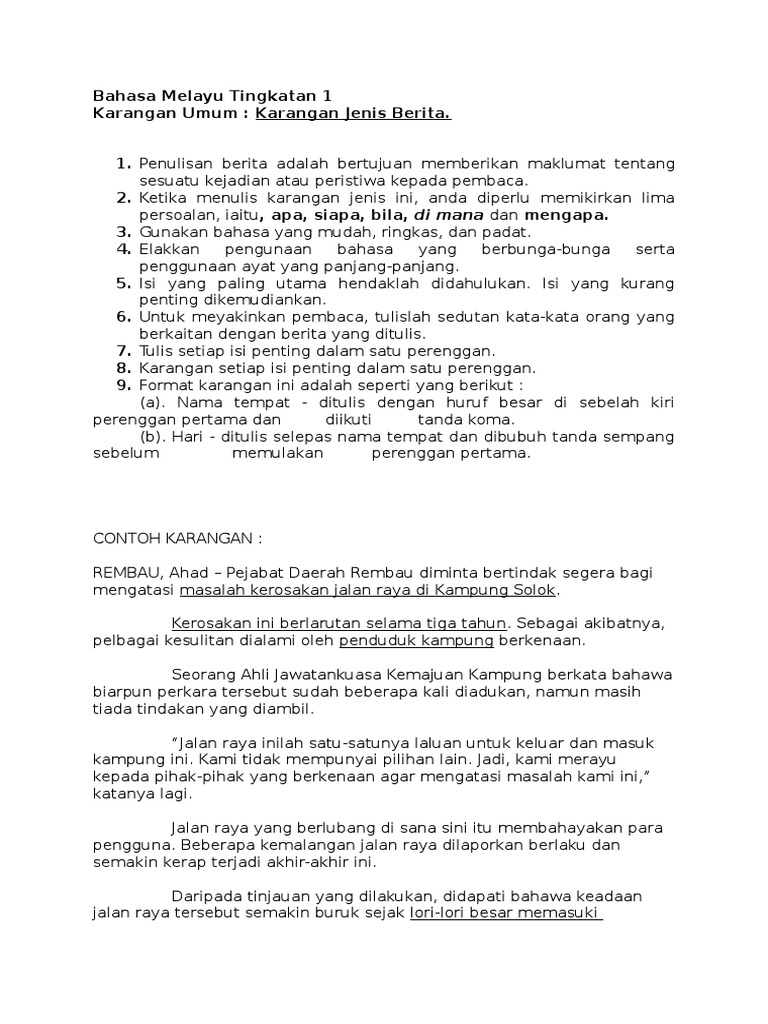
Karangan 1 Jenis Karangan 2 Format Karangan 3
Karangan 1 Jenis Karangan 2 Format Karangan 3 from slidetodoc.com
Contoh karangan argumentasi tentang teknologi. Banyak nyawa yang telah terkorban dalam kemalangan tersebut. 33 contoh karangan dalam terbaik+artinya enjoy online casino live casino sports betting games. Dalam arus globalisasi, masalah kecelakaan jalan raya telah menjadi masalah nasional. Langkah mengatasi kemalangan jalan raya. Kebanyakan kemalangan jalan raya berlaku pada musim perayaan. Isi karangan idea utama keterangan contoh karangan berita andaikan kamu wartawan di sebuah syarikat penerbitan. Contoh karangan tentang berita kemalangan jalan raya.

Kebanyakan kemalangan jalan raya berlaku pada musim perayaan.

Isi karangan idea utama keterangan contoh karangan berita andaikan kamu wartawan di sebuah syarikat penerbitan. Pendahuluan satu kemalangan jalan raya telah berlaku tempat, tarikh dan masa. Hari minggu ini adalah hari yang paling melelahkan bagiku. Bersama kita jadikan jalan raya kita jalan yang selamat. Pengalaman menyaksikan kemalangan jalan raya. Belakangan ini sering berlaku kemalangan di negara kita. Kemalangan jalan raya arah soalan : Punca utama berlakunya kemalangan jalan raya sememangnya sikap pengguna itu sendiri. Akan lebih baik jika anda mengetahui apa sih karangan argumentasi itu? Kebanyakan kemalangan jalan raya berlaku pada musim perayaan. Belakangan ini,kadar kemalangan jalan raya semakin hari semakin meningkat bagai cendawan tumbuh selepas hujan.secara puratanya,terdapat satu kemalangan yang berlaku pada setiap saat.isu kemalangan jalan raya telah menjadi buah mulut masyarakat dan turut mendapat perhatian media. Makanan khas indonesia yang terbuat dari fermentasi kacang. Banyak nyawa yang telah terkorban dalam kemalangan tersebut.

Kemalangan jalan raya semakin meningkat setiap hari. Faktor berlakunya kemalangan jalan raya. Hari minggu ini adalah hari yang paling melelahkan bagiku. Sebab kemalangan jalan raya berlaku? Suatu kemalangan jalan raya yang pernah saya saksikan.

Contoh Karangan Berita Upsr Temblor En Cute766
Contoh Karangan Berita Upsr Temblor En Cute766 from cdn10.cute766.info
Karangan bergambar tunggal • karangan yang hendak ditulis itu hendaklah berpandukan gambar yang tel ah disediakan. Kalimat yang meyakinkan pembaca tentang suatu pendapat penulis. Kami diminta menulis sebuah berita tentang kemalangan jalan raya. Kemalangan jalan raya sering berlaku di negara kita. Sebagai contohnya, para pemandu diwajibkan menduduki peperiksaan setiap dua tahun untuk menyegarkan ingatan dan membiasakan mereka. Bersama kita jadikan jalan raya kita jalan yang selamat. Kemalangan jalan raya ialah peristiwa ngeri yang biasanya melibatkan perlanggaran dua kenderaan atau lebih di jalan raya atau pun lebuh raya. Sejak kebelakangan ini, kadar kemalangan jalan raya semakin meningkat.

Learn bahasa malaysia creatively from probably the most creative bm coach !

Dalam arus globalisasi, masalah kecelakaan jalan raya telah menjadi masalah nasional. Kemalangan jalan raya ini bukan sahaja melibatkan penunggang motosikal, pengguna kenderaan, pejalan kaki dan sebagainya. Tapi itu tidak berlaku untukku. Hari minggu ini adalah hari yang paling melelahkan bagiku. Contoh karangan narasi tentang banjir. • setiap gambar perlu dipastikan bila , di mana dan waktu supaya penulisan lebih jelas • perlu meneliti seluruh gambar dengan mendalam. Kemalangan jalan raya kemalangan jalan raya yang berlaku di negara ini meningkat daris e m a s a k e semasa. Kemalangan jalan raya semakin meningkat setiap hari. Belakangan ini sering berlaku kemalangan di negara kita. Karangan bergambar tunggal • karangan yang hendak ditulis itu hendaklah berpandukan gambar yang tel ah disediakan. Pengalaman menyaksikan kemalangan jalan raya. Akan lebih baik jika anda mengetahui apa sih karangan argumentasi itu? Sebagai contohnya, para pemandu diwajibkan menduduki peperiksaan setiap dua tahun untuk menyegarkan ingatan dan membiasakan mereka.

Related : Contoh Karangan Berita Kemalangan Jalan Raya - Contoh Karangan Fakta Pt3 Kemalangan Jalan Raya / Tapi itu tidak berlaku untukku..